Упр.29.8 ГДЗ Мордкович Семенов 9 класс (Алгебра)
Решение #1

Рассмотрим вариант решения задания из учебника Мордкович, Семенов, Александрова 9 класс, Бином:
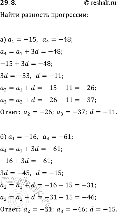
29.8. а) Между числами -15 и -48 вставьте два числа так, чтобы получились четыре последовательных члена арифметической прогрессии. Найдите разность и пропущенные члены этой прогрессии.
б) Между числами -16 и -61 вставьте два числа так, чтобы получились четыре последовательных члена арифметической прогрессии. Найдите разность и пропущенные члены этой прогрессии.
*размещая тексты в комментариях ниже, вы автоматически соглашаетесь с пользовательским соглашением