Упр.9.9 ГДЗ Мордкович Семенов 9 класс (Алгебра)
Решение #1

Рассмотрим вариант решения задания из учебника Мордкович, Семенов, Александрова 9 класс, Бином:
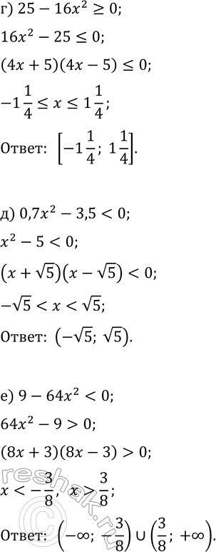
9.9. Решите неравенство:
а) 9x^2-16<0; г) 25-16x^2?0;
б) 0,3x^2-0,6x?0; д) 0,7x^2-3,5<0;
в) 25-4x^2>0; е) 9-64x^2<0.
*размещая тексты в комментариях ниже, вы автоматически соглашаетесь с пользовательским соглашением